
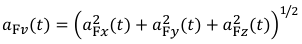
FX, Y, Z
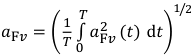
Gemittelte RMS der flath-frequenzbewerteten Schwingung in x- y- z-Richtung (m/s2)
F
zeitlich gemittelte flath-Beschleunigung F(t)
Quadratischer Mittelwert (RMS, en: root-mean-square) des Gesamtwerts der triaxialen flath-Schwingung, in Meter je Quadratsekunde (m/s2), angegeben als:

mit F(t)
momentaner Gesamtwert der flath-Beschleunigung
Der momentane Gesamtwert der triaxialen Beschleunigung der flath-frequenzbewerteten Schwingung (m/s2) wird angegeben als:

VPM X, Y, Z
Schwingungsspitzenamplitude in den Richtungen X, Y, Z
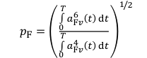
pF Schwingungsspitzenamplitude VPM
(VPM, en: vibration peak magnitude) der flath-Beschleunigung
Quadratwurzel des Verhältnisses zwischen der Summe der 6. Potenzen der momentaner Gesamtwert der flath-Beschleunigungen und der Summe der 4. Potenzen der momentaner Gesamtwert der flath-Beschleunigungen (m/s2),
bzw.
wobei i die Nummer des Abtastwertes und N die Gesamtzahl der Abtastwerte sind.
Dominant
Dominate Richtung, Richtung mit dem größten VPM