See also
Hennecke, D.; Zur Bewertung des Schwingungskomforts von Pkw bei instationären Anregungen. Düsseldorf, 1995
(VDI Fortschritt-Berichte Reihe 12: Verkehrstechnik/Fahrzeugtechnik; Nr. 237))
ISBN 9783183237128
DIN SPEC 45697
The following parameters are calculated for the vibrations channels (frequency weighted and not frequency weighted):
Please note: Due to settling of filters the non-stationarity results may be slightly faulty with trigger defined.
For sake of overview not all non-stationarity results are displayed in the non-stationarity results dialogue. Only these are displayed:
Frequency weighted RMS aw
Frequency weighted enhanced RMS aw,erw
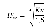
non-stationarity factors of frequency weighted accelerations IFw
All results calculated, also those of unweighted raw accelerations, may be exported to EXCEL (see Defining EXCEL templates).
The calculation of non-stationarity is done according to the specifications of Dr. Detlev Mohr and DIN SPEC 45697
as EXCEL function KURT
with s = standard deviation
Ku = Ex + 3
F = Ku / 3
as EXCEL function SCHIEFE
with s = standard deviation
aw,erw = aw * IFw