siehe auch
Hennecke, D.; Zur Bewertung des Schwingungskomforts von Pkw bei instationären Anregungen. Düsseldorf, 1995
(VDI Fortschritt-Berichte Reihe 12: Verkehrstechnik/Fahrzeugtechnik; Nr. 237))
ISBN 9783183237128
DIN SPEC 45697
Zu den Vibrationskanälen werden von den frequenzbewerteten und von den unbewerteten Beschleunigungssignalen der X-, Y- und Z-Kanäle folgende Parameter berechnet:
Bitte beachten Sie, dass die Instationaritäts-Ergebnisse bei definierten Triggerbedingungen durch die Ein- und Ausschwingvorgänge leicht verfälscht werden können.
In der Ergebnisanzeige für die Instationarität werden aus Gründen der Übersicht nicht alle, sondern nur folgende Ergebnisse angezeigt
frequenzbewertete Effektivwerte aw
frequenzbewertete erweiterte Effektivwerte aw,erw
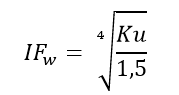
Instationaritätsfaktoren der frequenzbewerteten Beschleunigungen IFw
Alle berechneten Ergebnisse, auch die der nicht frequenzbewerteten Beschleunigungen können nach EXCEL ausgegeben werden (siehe Erstellen eigener EXCEL-Vorlagen).

Die Berechnung der Instationarität erfolgt nach Vorgaben von Dr. Detlev Mohr und DIN SPEC 45697.
wie EXCEL-Funktion KURT

mit s = Standardabweichung
Ku = Ex + 3
F = Ku / 3
wie EXCEL-Funktion SCHIEFE

mit s = Standardabweichung

aw,erw = aw * IFw