Für jedes Arbeitsspiel und jeden Vibrationsmesspunkt (bestehend aus X- Y- Z-Kanal + Summe) kann eine Spektralanalye durchgeführt werden.
Bitte beachten Sie, dass die Spektralanalyse ohne Berücksichtigung der Triggerbedingungen durchgeführt wird, weil sie sonst durch die Ein- und Ausschaltartefakte stark verfälscht würde.
Es werden für jeden Kanal um 50% überlappende FFTs gerechnet und anschließend gemittelt.
Als Fensterfunktion kommt das Hanning-Fenster zum Einsatz. Das Hanning-Fenster stellt einen guten Kompromiss zwischen Frequenzselektivität und Amplitudengenauigkeit dar.
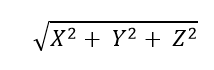
Der Summenkanal wird für jede Spektrallinie des Amplitudenspektrums nach der Formel

berechnet.
Angezeigt wird das Leistungsspektrum (= Quadrat des Amplitudenspektrums)
Bitte beachten Sie, dass bei geringerer spektraler Auflösung (= kleinere Fensterbreite) ein breiterer Ausschnitt des Spektrums auf eine FFT-Linie fällt und sich, je nach Spektralverteilung des Signals, die akkumulierte Amplitude (Leistung) der einzelnen FFT-Linie verändern kann.

Wenn Sie mehr als eine Vibrationskanalgruppe (Messpunkt mit den drei Achsen X, Y und Z) haben, können Sie diese hier auswählen.
Wenn Sie mehr als ein Arbeitsspiel definiert haben, können Sie dieses hier auswählen.
Sie können die FFT-Auflösung und damit die FFT-Fensterlänge verändern.
Je größer die Fensterlänge ist, desto höher ist die spektrale Auflösung.
Der Standard-Anzeigebereich geht nach oben bis zur halben Abtastrate. Wenn man die höheren Frequenzanteile nicht sehen möchte, kann hier die obere Anzeigegrenze verkleinert werden.
Diese Einstellung gilt auch für die Grafik in der EXCEL-Ausgabe.
Sie können in der Grafik zoomen, indem Sie die linke Maustaste drücken und gedrückt halten, die Maus mit gedrückter linker Maustaste nach rechts bewegen und dann die linke Maustaste loslassen.
Diesen Vorgang können Sie bei Bedarf mehrmals wiederholen, um sich Einzelheiten genauer ansehen zu können.
Sie bekommen wieder die ursprüngliche Darstellung, indem Sie die linke Maustaste drücken und gedrückt halten, die Maus mit gedrückter linker Maustaste nach links bewegen und dann die linke Maustaste loslassen.
Sie können auch den Button "undo zoom" anklicken.
Diese Einstellung gilt auch für die Grafik in der EXCEL-Ausgabe.
Die Spektralanalyse kann nach EXCEL exportiert werden.
FFT-Auflösung und Anzeigebereich der Frequenz wie im Dialog ausgewählt. Der Zoom der Grafik wird für alle Arbeitsspiele so angezeigt, wie im Dialog ausgewählt.
Es wird für jede Vibrationskanalgruppe und für jedes Arbeitsspiel ein Tabellenblatt mit einer Grafik und den dazugehörigen Rohdaten angelegt.
Bitte beachten Sie, dass die Grafik in der EXCEL-Ausgabe Ihren Zoom und die obere Anzeigegrenze.
Schlüsselwörter siehe Erstellen eigener EXCEL-Vorlagen